近年来,行测数量关系中概率问题的考查越加热门,逐渐成为行测考试中的考察重点。随之而来,几何概率的考察也在考题中频繁出现,但是很多同学辨析不清几何概率和古典概率。今天蓝图公考带大家就一起来了解一下,概率问题中两者的联系与区别。
一、定义:
1.古典概率:又称等可能事件的概率,具有两个特征:“有限性”和“等可能性”。“有限性”强调基本事件是有限的、可数的;“等可能性”强调每一个基本事件发生的可能性是相等的。
2.几何概率:是可以用几何方法求得的概率,具有两个特征:“无限性”和“等可能性”。“无限性”强调的基本事件有无穷多个;等可能性”强调每一个基本事件发生的可能性是相等的。几何概率的基本思想是把事件与几何区域对应,利用几何区域的度量来计算事件发生的概率。此处的度量,一维指长度,二维指面积,三维指体积等。
二、联系与区别:
1.联系:两者都要求发生的基本事件的可能性是相等的;
2.区别:古典概率研究的是有限个等可能事件发生的概率;几何概率研究的是无限个等可能事件发生的概率。
三、基本公式:
假设所求为A事件发生的概率

四、经典例题:
1.有一正方形区域内部均匀分布着25个同样规格的气球。小波通过向正方形区域里射击气球的方式决定自己的周末活动。经过试验,他射中气球的成功率达到100%,但射中的气球位置随机。如果射中最外圈的气球,那么他周末去看电影;若射中最中心的气球,他会去打篮球;否则,他将在家看书。据此可知小波周末不在家看书的概率为:

【答案】B。中公解析:总事件为射中正方形内气球,A事件为小波周末不在家看书,事件对应的样本数为有限个,并射中的气球可能性相等,故为古典概率问题。总事件的等可能样本数为正方形内全部气球个数25,A事件的等可能样本数为最外圈和最内圈的气球个数之和16+1=17。根据题意可知,气球在正方形内均匀分布如图所示,则他周末不在家看书的概率为
。故本题选择B项。

2.小波通过往圆圈里投掷米粒(米粒本身长度不计,视为一个点)的方式决定自己的周末活动。经过试验,他将米粒投进圆圈内的成功率达到100%,但投掷在圆内的位置随机。如果米粒到圆心的距离大于圆半径的一半,那么他周末去看电影;若米粒到圆心的距离小于半径的
,他会去打篮球;否则,他将在家看书。据此可知小波周末不在家看书的概率为:

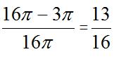
【答案】D。中公解析:总事件为将米粒投进圆圈内,A事件为小波周末不在家看书,视为点的米粒投进圆圈中的位置有无穷多个,也就是事件对应的样本数有无穷多个,并投掷在圆内的位置随机,故为几何概率问题。总事件的区域为圆圈总面积,A事件的区域为如图圆环b的面积。设小波投米粒的圆圈的半径为4,面积为16π。根据题意可知,圆环a表示他去看电影,小圆c表示他去打篮球,圆环b表示他在家看书,面积为4π-π=3π。则他周末不在家看书的概率为
。故本题选择D项。

通过以上两道题目,大家可以发现,古典概率的解题重点在于找到总事件和A事件对应的等可能样本数,是计数问题,分子分母的求解重点是搞清样本个数是多少。几何概率的解题重点是画出题目对应的几何模型,同时找到总事件和A事件对应的度量大小,是几何问题,分子分母的求解重点是求出对应长度或面积或体积的大小。
最后蓝图公考希望大家可以辨析清楚古典概率和几何概率,熟记两种概率问题的公式和常见几何图形的求解公式,在考场上遇到题目时稳定拿分。